Our lab and experiments
Instabilities of a Bose-Einstein condensate in a periodic potential
Abstract:
By accelerating a Bose-Einstein condensate in a controlled way across the edge of the Brillouin zone of a 1D optical lattice, we investigate the stability of the condensate in the vicinity of the zone edge. Through an analysis of the visibility of the interference pattern after a time-of-flight and the widths of the interference peaks, we characterize the onset of instability as the acceleration of the lattice is decreased.
When the lattice is accelerated, the condensate feels a force in the rest frame of the lattice, resulting in a
change of quasimomentum of the condensate. In the linear problem, this simply means that when switching off the
lattice and magnetic trap at the end of the acceleration process, the instantaneous group velocity of the
condensate in the lattice frame is given by the inverse of the curvature of the lowest energy band of the
lattice. The resulting Bloch oscillations have been observed in a previous experiment [1]. In practice, the
time-of-flight interference pattern of the condensate released from the lattice then consists of a series of
well-defined peaks corresponding to the momentum classes (in multiples of the lattice momentum 2 p
rec = 2 hbar
k
L
with k
L = 2p/l), as can be seen in Figs. 1 (a) and (c). The shape of the interference pattern in the transverse
direction is shown in Figs. 1 (b) and (d).

In the nonlinear problem, the solutions of the Gross-Pitaevskii equation are predicted to be unstable in the
vicinity of the Brillouin zone edge [2, 3, 4, 5]. When the condensate is close to the zone edge, the unstable
solutions grow exponentially in time, leading to a loss of phase coherence of the condensate along the direction
of the optical lattice. In our experiment, the time the condensate spends in the critical region where unstable
solutions exists is varied through the lattice acceleration. When the acceleration is small, the condensate moves
across the Brillouin zone more slowly and hence the growth of the unstable modes [2] becomes more important.
Figures 1 (c) and (d) show typical integrated profiles of the interference pattern for a lattice acceleration
a = 0.3 m/s
2. Here, the condensate has reached the same point close to the Brillouin zone edge as in Figs. 1 (a)
and (b), but because of the longer time it has spent in the unstable region, the interference pattern is almost
completely washed out. It is also evident that the radial expansion of the condensate is considerably enhanced
when the Brillouin zone is scanned with a small acceleration.
Integrated longitudinal and transverse profiles of the interference pattern of a condensate released from an optical lattice after acceleration to a quasimomentum 0.9 and a subsequent time-of-flight of 21 ms.
In (a) and (b), the acceleration a was 5 m/s
2, whereas in (c) and (d) a = 0.3 m/s
2.
In (a) and (c), the horizontal axis has been rescaled in units of recoil momenta. Note the different
vertical axis scales (by a factor 4) for the upper and lower graphs. The total number of atoms was
measured to be the same in both cases.
In order to characterize our experimental findings more quantitatively, we define two observables for the
time-of-flight interference pattern. By integrating the profile in a direction perpendicular to the optical
lattice direction, we obtain a two-peaked curve (see Fig. 1 (a)) for which we can define a visibility
(in analogy to spectroscopy) reflecting the phase coherence of the condensate (visibility close to 1 for
perfect coherence, visibility ~ 0 for an incoherent condensate). In order to avoid large fluctuations of
the visibility due to background noise and shot-to-shot variations of the interference pattern, we have
found that a useful definition of the visibility is as follows:
visib.png
where h
peak is the mean value of the two peaks (both averaged over 1/10 of their separation symmetrically
about the positions of the peaks). By averaging the longitudinal profile over 1/3 of the peak separation
symmetrically about the midpoint between the peaks, we obtain h
middle.

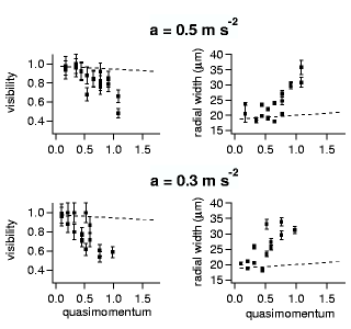
Visibility and radial width as a function of quasimomentum (in units of p
rec) for different
accelerations. As the acceleration is lowered, instabilities close to quasimomentum 1 (corresponding to the
edge of the Brillouin zone) lead to a decrease in visibility and increase in radial width. For comparison,
in each graph the (linear) fits to the visibility and radial width for the a = 5 m/s
2 data are
included. The error bars on the visibility correspond to an estimated 10% systematic error, whereas the error
bars on the radial width are the standard deviations of the Gaussian fits.
-
O. Morsch, J.H. Müller, M. Cristiani, D. Ciampini, and E. Arimondo
Bloch oscillations and mean-field effects of Bose-Einstein condensates in optical lattices
Phys. Rev. Lett. 87, 140402 (2001).
-
Biao Wu and Qian Niu
Superfluidity of Bose-Einstein condensate in an optical lattice: Landau-Zener tunneling and dynamical
instability
New J. Phys. 5, 104 (2003).
-
Yuri S. Kivshar and Mario Salerno
Modulational instabilities in the discrete deformable nonlinear Schrödinger equation
Phys. Rev. E 49, 3543 (1994).
-
R.G. Scott, A.M. Martin, T.M. Fromhold, S. Bujkiewicz, F.W. Sheard, and M. Leadbeater
Creation of Solitons and Vortices by Bragg Reflection of Bose-Einstein Condensates in an Optical Lattice
Phys. Rev. Lett. 90, 110404 (2003).
-
J.R. Anglin
Second-quantized Landau-Zener theory for dynamical instabilities
Phys. Rev. A 67, 051601(R) (2003).
-
M. Cristiani, O. Morsch, N. Malossi, M. Jona-Lasinio, M. Anderlini, E. Courtade and E. Arimondo
Instabilities of a Bose-Einstein condensate in a periodic potential: an experimental investigation
OPTICS EXPRESS 4, Vol. 12, No. 1, 12 January 2004